合作客戶/
拜耳公司 |
同濟大學 |
聯合大學 |
美國保潔 |
美國強生 |
瑞士羅氏 |
相關新聞Info
-
> 不同溫度和壓力對AOT穩定CO2乳液的界面張力影響(一)
> 芬蘭Kibron表面張力儀精準測量不同微米尺度下異辛烷的表面張力
> 拉脫法測量:不同性能磁性液體的磁表面張力變化規律與影響因素(二)
> 10種常用表面活性劑水溶液的表面張力測定、泡沫的產生和測試(二)
> 毛細現象及潤濕作用機理相關解釋
> 電極界面剩余電荷量越大,界面張力(界面自由能)就越小
> N-十四酰基天冬氨酸及其鈉鹽合成路線、制備、表面張力等性能測定(二)
> 生物表面活性劑產生菌的篩選及對PAHs污染環境的修復效果研究(一)
> 3D打印鈦合金粉體的生產工藝——高速高壓氬氣氣流克服鈦合金熔體表面張力
> 人胰島素的朗繆爾單分子層膜的表面化學和光譜學性質——結論、致謝!
推薦新聞Info
-
> 反離子鹽KBr濃度對酰胺基陽離子Gemini表面活性劑的表/界面活性的影響(二)
> 反離子鹽KBr濃度對酰胺基陽離子Gemini表面活性劑的表/界面活性的影響(一)
> 典型離子型與非離子型起泡劑的界面行為對泡沫性能的影響機制
> 新無氰白銅錫電鍍液及電鍍方法可降低表面張力,促進鍍液對復雜工件的潤濕
> 一種耐超高溫酸液體系、制備方法及其應用
> 納米滲吸驅油劑種類、降低界面張力和改變潤濕性的能力等機理研究(四)
> 復合驅中聚合物與陰離子表面活性劑的協同作用研究
> 化學組成對無堿鋁硼硅OLED基板玻璃表面張力的影響——結果、結論
> 化學組成對無堿鋁硼硅OLED基板玻璃表面張力的影響——摘要、實驗方法
> 納米滲吸驅油劑種類、降低界面張力和改變潤濕性的能力等機理研究(三)
3種增效劑對滅草松AS、草銨膦AS、高效氟吡甲禾靈EC增效作用及表面張力影響(二)
來源:農藥學學報 瀏覽 390 次 發布時間:2025-07-21
1.2試驗方法
試驗設計及藥劑處理如表1所示。
1.2.1靜態表面張力測定參照文獻方法測定。在(25±1)℃下,用0.3 mm的鉑金環(外徑20.30 mm,周長61.89 mm,密度0.998 g/mL)在全自動張力儀上先用純水進行校準,然后測定表1中15種處理的靜態表面張力,每個試驗至少重復3次,結果取平均值,用Origin Pro軟件(9.0版,OriginLab公司)處理數據。
表1試驗設計及藥劑處理
1.2.2動態表面張力測定在動態表面張力儀上采用最大氣泡壓力法測定,毛細管半徑為0.345 mm,溫度(25±1)℃,測定氣泡表面壽命范圍為10~10 000 ms。樣品測量之前用純水進行校準,測量完畢后使用Origin Pro軟件(9.0版,OriginLab公司)處理數據。
1.2.3干燥度測定在(25±1)℃下,取2μL
待測樣品滴于激光正下方進行檢測,并以純水作為對照。測量完畢后使用Origin Pro軟件(9.0版,OriginLab公司)處理數據。
1.2.4接觸角測定選取新鮮且潔凈的均為6葉期的稗草和龍葵葉片,避開葉脈和病斑,選取平整部分剪取小塊的葉肉,滴加5μL待測樣品,10 s后記錄接觸角大小,至少重復3次,計算平均接觸角。
1.2.5黏附張力和黏附功的計算將平均靜態表面張力值和平均接觸角代入潤濕方程:
式中:β為藥液的黏附張力,mN/m;Wa為藥液的黏附功,mJ/m2;θ為液滴在葉片上的接觸角,°;γ為藥液的表面張力,mN/m。
1.2.6防治效果對表1中處理4~15進行防治效果評價試驗,處理4~7為龍葵各4盆,處理8~11為稗草和龍葵各4盆,處理12~15為稗草各4盆,參照行業標準,采用盆栽莖葉處理法,于藥后5、9、16和23 d調查,目測各處理間雜草防效的差異,記錄雜草中毒癥狀和死亡情況,于最后一次觀察后剪取存活靶標雜草地上部分并稱取鮮重,按公式(3)計算鮮重防效(E)。
式中:mCK為空白對照的活草鮮重,mg;mPT為處理殘存的雜草鮮重,mg。試驗數據采用DPS標準統計軟件和鄧肯式新復極差法進行顯著性分析和綜合評估。
2結果與分析
2.1靜態表面張力
按表1的試驗設計及藥劑處理配制好待測樣品,測得的靜態表面張力如表2所示。可見:處理3降低水的靜態表面張力的能力明顯弱于處理1和處理2。與未添加增效劑的處理相比,添加3種增效劑后的靜態表面張力均有降低,其中2#增效劑的效果最好。
表2 15種處理的靜態表面張力數據
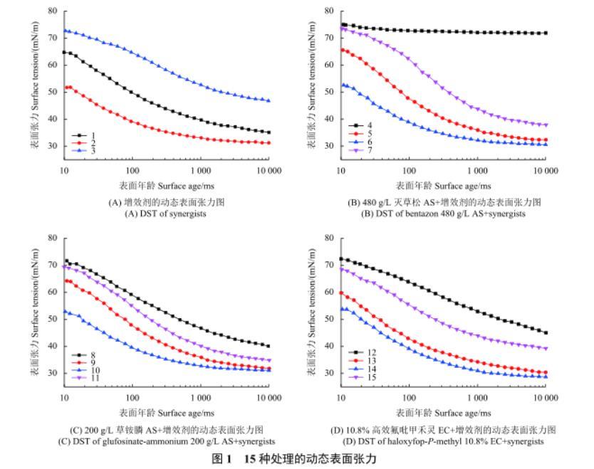
2.2動態表面張力
測定結果如圖1(A)所示:處理2降低表面張力的速度最快,且在10 000 ms時表面張力達到最小值,處理3降低表面張力的速度最慢,說明2#增效劑的效果最好,3#增效劑最差。與未添加增效劑的處理(4,8,12)相比,添加增效劑后除草劑表面張力的降低速度更快,10 000 ms時所達到的靜態表面張力值也更小,其中也是2#增效劑的效果最好。
圖1 15種處理的動態表面張力
2.3動態干燥度
以水的干燥時間為對照,3種增效劑、除草劑及分別添加3種增效劑的除草劑的干燥時間如圖2所示,樣品的干燥時間與水的相差不大,均為20 min左右,說明增效劑對干燥度的影響不大。
圖2 15種處理的動態干燥度
2.4接觸角
植物葉片性質的不同會影響藥液的潤濕和持留能力。接觸角測定結果(表3)顯示:無論靶標作物是禾本科的稗草還是闊葉科的龍葵,2#增效劑的接觸角均最小,且3種除草劑中添加2#增效劑后接觸角減小的程度最大(6,10,14),添加3#增效劑后接觸角減小的程度最小,因此,2#增效劑減小接觸角的性能最好。
表3 15種處理作用于靶標作物時的接觸角





