合作客戶/
拜耳公司 |
同濟大學 |
聯合大學 |
美國保潔 |
美國強生 |
瑞士羅氏 |
相關新聞Info
推薦新聞Info
-
> 二甲亞砜與二甲苯異構體混合物的體積收縮與表面張力降低效應(二)
> 二甲亞砜與二甲苯異構體混合物的體積收縮與表面張力降低效應(一)
> 表面能與表面張力對凍干制劑中“小瓶霧化”現象的影響機制研究
> 新型懸滴實驗系統的研制與二甲基亞砜/甲醇混合物表面張力測量(二)
> 新型懸滴實驗系統的研制與二甲基亞砜/甲醇混合物表面張力測量(一)
> 噻噸酮光敏劑體系:光電轉換與顯色特性的深度解析
> 溫度、締合強度、截斷半徑對球形空腔中締合流體界面張力的影響(二)
> 溫度、締合強度、截斷半徑對球形空腔中締合流體界面張力的影響(一)
> 一文讀懂什么是超微量天平
> LiF-CaF?-Yb?O?熔鹽體系表面張力的測定及其對Ni-Yb合金電解的指導意義(二)
LiF-CaF?-Yb?O?熔鹽體系表面張力的測定及其對Ni-Yb合金電解的指導意義(二)
來源:《有色金屬科學與工程》 瀏覽 101 次 發布時間:2025-12-02
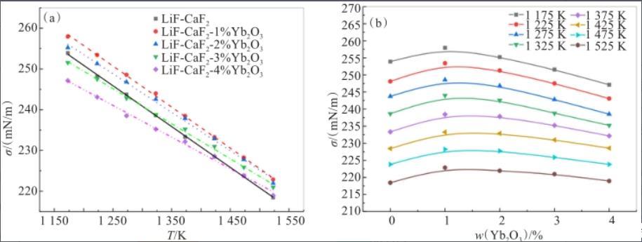
2.1.2 LiF-CaF2-Yb2O3體系表面張力變化規律
研究表明在1 173~1 523 K溫度范圍內,(LiF-CaF2)etu體系中Yb2O3溶解度低于2%(質量分數),因此,圖3(a)中為一定Yb2O3含量下(LiF-CaF2)etu-Yb2O3體系表面張力隨溫度的變化規律,可以看出,在1 173~1 523 K范圍內,一定Yb2O3含量的(LiF-CaF2)etu-Yb2O3體系表面張力隨著溫度的升高而降低,原因是溫度的升高致使熔體表面層離子或團簇具備較高的動能和較低的解離能,陰陽離子之間的相互吸引作用減弱。
圖3(b)為特定溫度下(LiF-CaF2)etu-Yb2O3體系表面張力隨Yb2O3含量的變化規律,可以看出,表面張力與Yb2O3的溶解度之間密切相關。當Yb2O3的質量分數為0~2%時,Yb2O3在LiF-CaF2體系內被充分溶解,體系的表面張力在Yb2O3的質量分數為1%時達到最高值。隨著Yb2O3的質量分數進一步增加,達到過飽和狀態,體系的表面張力出現減小,分析原因認為Yb2O3的加入會導致(LiF-CaF2)etu體系的離子構成形式發生變化,從而使表面層和體相離子團簇構成形式發生變化。
由于(LiF-CaF2)etu體系中Yb2O3的溶解度較小,(LiF-CaF2)etu體系中主體結構不會發生根本性變化,但可以確定在Yb2O3的溶解量為0~2%(質量分數)時,體系內部會產生吸引作用力強的離子團簇,使其表面張力增加。隨著Yb2O3含量的增加,體系表面層中離子結構發生變化,削弱了表面層離子或團簇的吸引作用,導致表面張力下降。擬合圖3(b)中數據可以得到LiF-CaF2-Yb2O3熔鹽體系表面張力的回歸方程式(4)。
σ=363.190-0.940x-0.092T(4)
圖3溫度(a)和Yb2O3含量(b)對LiF-CaF2熔鹽體系表面張力的影響
2.2 Ni-Yb合金的表面張力
綜合LiF-CaF2-Yb2O3體系和Ni-Yb合金表面張力變化規律,表明隨電解溫度的升高,LiF-CaF2-Yb2O3熔鹽體系的表面張力減小,但僅在220~260 mN/m較小范圍內變化。Yb2O3在LiF-CaF2-Yb2O3體系中的含量引起的張力變化范圍同樣不顯著,在1 173~1 523 K溫度區間表面張力波動范圍小于20 mN/m。因此,Ni-Yb合金的表面張力值隨組分和溫度的變化決定合金與LiF-CaF2-Yb2O3體系的分離。
Butler方程如式(5)所示,該方程經過完善后被廣泛應用于二元及三元合金內的表面張力的預測,經對多種合金體系的驗證,預測值與實驗值較吻合。利用Butler模型,結合Yb、Ni純金屬的標準物理參數,見表2所列,得到圖4所示高于Ni-Yb合金熔點100~600 K和Yb摩爾百分含量0~100%范圍內的表面張力曲面預測值。同時,圖4中給出了LiF-CaF2-Yb2O3體系在1 173~1 523 K溫度區間以及Yb2O3質量分數在0~4%范圍內的表面張力曲面預測值,當合金中Yb的摩爾分數低于10%時,合金的表面張力變化梯度大,在600~1 700 mN/m迅速增大。當Yb的摩爾分數高于10%時,合金的表面張力變化梯度小,在200~600 mN/m范圍內緩慢減小。對比LiF-CaF2-Yb2O3體系的張力曲面,當合金中Yb的摩爾分數低于10%時,合金與熔鹽的表面張力差值范圍在340~1 480 mN/m間波動,遠高于熔鹽體系。合金與熔鹽體系潤濕性差,液態合金易于團聚。合金中Yb的摩爾分數高于10%時,合金與熔鹽的表面張力差值僅在20~340 mN/m小范圍內波動,合金與熔鹽體系潤濕性好,液態合金不易團聚。總體上,在溫度1 173~1 523 K范圍內的LiF-CaF2-Yb2O3體系下,熔鹽體系的黏度相對穩定,Yb摩爾分數高于10%的Ni-Yb合金產物與LiF-CaF2-Yb2O3熔鹽表面張力差值較小,潤濕性更好,有利于收集。
表2純金屬Ni、Yb的標準物理參數
圖4 Ni-Yb合金與LiF-CaF2-Yb2O3體系表面張力曲面對比
式(5)中:=0.75,σ和σi為溶體和純組分i的表面張力數值,單位mN/m;R為氣體常數(8.314 J/mol/K);T為絕對溫度數值,單位K;XiS和XiB分別為組分i在表面相和體相中的摩爾分數;Si為組分i純物質的單層表面積數值,單位m2;分別為表面相和體相中組分i的偏摩爾吉布斯自由能數值,單位J/mol;ZS和ZB分別是表面相和體相的配位數;No為阿伏伽德羅常數(6.02×1023 mol-1);Mi為組分i的摩爾質量數值,單位kg;ρi為密度數值,單位kg/m3。
3結論
1)在1 173~1 523 K范圍內,隨著溫度的升高,LiF-CaF2體系的表面張力呈線性降低。Santos方程能較好預測LiF-CaF2體系二元熔鹽體系表面張力和描述表面相與體相組成的關系;在1 173~1 523 K范圍內,LiF-CaF2-Yb2O3體系表面張力隨溫度的升高而降低;在Yb2O3的質量分數為1%~4%范圍內,體系的表面張力先增后減,在質量分數為1%時達到最高。
2)當高于熔點200~600 K范圍內,液態Ni-Yb合金中Yb的摩爾分數低于10%時,其表面張力在600~1 700 mN/m迅速增大。當Yb的摩爾分數高于10%時,合金的表面張力在200~600 mN/m范圍內緩慢減小。溫度為1 173~1 523 K范圍內的LiF-CaF2-Yb2O3體系的表面張力在220~260 mN/m較小范圍內波動,相對穩定,與Yb摩爾分數高于10%的Ni-Yb合金表面張力差值較小,潤濕性更好。





