合作客戶/
拜耳公司 |
同濟大學 |
聯合大學 |
美國保潔 |
美國強生 |
瑞士羅氏 |
相關新聞Info
推薦新聞Info
-
> 反離子鹽KBr濃度對酰胺基陽離子Gemini表面活性劑的表/界面活性的影響(二)
> 反離子鹽KBr濃度對酰胺基陽離子Gemini表面活性劑的表/界面活性的影響(一)
> 典型離子型與非離子型起泡劑的界面行為對泡沫性能的影響機制
> 新無氰白銅錫電鍍液及電鍍方法可降低表面張力,促進鍍液對復雜工件的潤濕
> 一種耐超高溫酸液體系、制備方法及其應用
> 納米滲吸驅油劑種類、降低界面張力和改變潤濕性的能力等機理研究(四)
> 復合驅中聚合物與陰離子表面活性劑的協同作用研究
> 化學組成對無堿鋁硼硅OLED基板玻璃表面張力的影響——結果、結論
> 化學組成對無堿鋁硼硅OLED基板玻璃表面張力的影響——摘要、實驗方法
> 納米滲吸驅油劑種類、降低界面張力和改變潤濕性的能力等機理研究(三)
LB膜-石墨烯與磷脂之間的作用【上】
來源:上海謂載 瀏覽 1920 次 發布時間:2022-07-25
摘要
氧化石墨烯在生物醫學領域有著廣泛的應用前景。但關于GO如何與細胞膜或模型系統相互作用的信息仍然非常有限。當GO與脂質相互作用時,它是如何定位自身的還不清楚。在本研究中,朗繆爾單層技術應用于空氣中?研究GO和脂質模型之間相互作用的性質和方向的水/水界面。故意選擇具有相同18碳烷基鏈但不同電荷頭基的五種脂質(DODAB、DSEPC、DSPC、DSPA和SA),以合理化可能的相互作用。實驗結果表明,這種相互作用是由極性頭群和GO之間的靜電相互作用決定的。GO可以并入帶正電的脂質DODAB和DSEPC的單層,但不能并入帶中性或帶負電的脂質(DSPC、DSPA和SA)。將GO注入荷正電脂質DODAB和DSEPC單層下方的亞相時,觀察到不同的表面壓力行為。提出了一個“邊入”而不是“面入”的取向模型來解釋GO在DODAB單分子膜上的吸附。
引言
石墨烯是一種單原子厚的sp2雜化碳原子平面片,由于其新穎的光學、機械、電子學、熱學和生物學特性,近年來在各種研究和應用中引起了極大的關注。1,2氧化石墨烯(GO)具有與石墨烯類似的原子薄結構,但具有大量含氧官能團,例如邊緣的羧基和基面上的羥基和環氧基。1 GO由于其特殊的物理和化學性質,例如低成本的制造工藝、豐富的膠體性質、高吸附性和通用熒光猝滅,在生物傳感和生物醫學領域顯示出了優越的應用。3.?6過去幾年中,GO或功能化GO作為一種有效的方式,將生物活性肽、蛋白質、核酸等治療分子輸送到抗癌藥物中,取得了巨大進展。4,7,8 GO也可用于生物傳感,3,9成像,10?12實時監測蛋白酶活性,13,14和近紅外光熱治療癌癥和阿爾茨海默病。15?17
GO在生物系統中的應用需要解決GO和細胞成分(如膜)之間可能存在的相互作用。膜是自然的二維屏障,將細胞的內部環境與外部環境物理隔離。磷脂作為細胞膜的主要結構成分,參與各種生物反應,如細胞粘附、離子電導率、疾病相關反應以及信號和物質的傳輸。18之前的研究已經報道GO可以應用于細胞成像以及藥物和基因傳遞,表明它可能進入細胞。8,10,11但是關于GO如何與細胞膜或模型系統相互作用的研究仍然非常有限。19關于GO的細胞毒性及其進入細胞膜的方式也得到了不一致的結果。20,21此外,與球形或管狀納米材料相比,GO是一個非常薄的層(~1 nm),具有較大的表面積和不規則形狀。1當GO與細胞膜相互作用時,它是如何定位自身的尚不清楚。因此,了解GO和各種脂質模型之間相互作用的性質至關重要。這些知識可以為GO在生物和生物醫學領域的未來應用提供進一步的信息。
除了GO在生物傳感和生物醫學研究中的應用外,使用GO和其他一些組件構建和組織介觀或宏觀定義良好的復合材料已被證明是制備電子器件的簡單而有用的方法,例如超級電容器電極、導電聚合物和場效應器件。22?24因此,理解和操縱GO和復合材料中其他組件之間的相互作用、方向和結構控制對于潛在的制造和應用至關重要。
朗繆爾單層和朗繆爾?空氣中的Blodgett(LB)膜?水/水界面是典型的二維表面化學方法,廣泛應用于空氣中兩親分子的結構和性能研究?水/水界面,如蛋白質和脂質。25?27這些方法的一個顯著特點是從分子水平對層結構進行內在和精確的控制。由于GO薄片邊緣的羧基脫質子化,帶負電的GO和帶電荷的脂質之間預計會發生22,28靜電相互作用。空氣?水/水界面有望成為研究脂質和GO之間相互作用的理想場所,因為兩親性脂質很容易在界面上定向,極性/帶電基團合并在親水水相中,而非極性部分朝向空氣相。
在本研究中,為了理解和定義GO和具有不同頭群的脂質模型之間相互作用的性質和方向,在空氣中應用了Langmuir單層技術?表征水/水界面的性質,如分子堆積、吸附和偶極矩。選擇具有相同烷基鏈長度(18個碳)但不同電荷和頭基的五種脂質來合理化可能的相互作用。本研究中使用的脂質的所有烷基都有目的地選擇為具有18個碳鏈,以消除末端烷基的可能影響,如圖1所示?用原子力顯微鏡(AFM)將Blodgett薄膜轉移到基底上,進一步表征單層的形貌。
方案1.脂質和氧化石墨烯的化學結構
實驗部分
正電荷脂質二十八烷基二甲基溴化銨(DODAB)和1,2-二硬脂酰-sn-甘油-3-乙基磷酸膽堿氯化鹽(DSEPC)、中性電荷兩性脂質1,2-二硬脂酰-sn-甘油-3-磷酸膽堿(DSPC)和負電荷脂質1,2-二硬脂酰-sn-甘油-3-磷酸鈉鹽(DSPA)購自Avanti Polar Lipides(Alabaster,AL)。硬脂酸(SA)購自SigmaAldrich(密蘇里州圣路易斯)。由于頭部基團中存在陰離子磷酸鹽和陽離子季銨中心,DSPC帶中性電荷,如方案1c所示。由于羧基脫質子化,SA被認為是帶負電的分子。所有這些脂質在非極性尾部都有18個碳鏈烷基。光譜級氯仿和甲醇來自MP Biomedicals(Solon,OH)。單層GO購自ACS Material LLC(馬薩諸塞州梅德福德)。所有這些化學品均未經任何進一步凈化。化學結構如圖1所示。實驗中使用的去離子水來自Modulab 2020水凈化系統(德克薩斯州圣安東尼奧)。去離子水的電阻率、表面張力和pH值在20.0±0.5°C時分別為18 MΩ·cm、72.6 mN/M和5.6。所有實驗均在恒溫20.0±0.5°C、濕度50±1%的潔凈室(1000級)中進行。
通過向10 mg GO中添加10 mL去離子水,然后在冷水浴中超聲1小時,獲得1 mg/mL GO水分散體(Branson,1510型,丹伯里,CT)。通過用去離子水稀釋制備0.01、0.02和0.04 mg/mL GO分散體。我們之前已經證明,單層GO是使用相同的材料和程序通過UV獲得的?可見光譜和原子力顯微鏡(AFM)。6張AFM圖像顯示,去角質GO的高度約為1 nm,而橫向尺寸高達幾百納米。將除DSPA外的每種脂質溶解在氯仿中,以獲得約0.3 mg/mL的濃度。少量脂質:氯仿溶液(25至45μL)在空氣中逐滴沉積?水或空氣?GO分散(0.01、0.02和0.04 mg/mL)界面,使用100μL注射器(Hamilton Co.,Reno,NV)。由于DSPA不完全溶于氯仿,因此使用氯仿:甲醇:水=65:35:8(體積比)的混合溶劑溶解DSPA。在整個表面化學測量過程中,使用面積為5.9 cm×21.1 cm的Kibronμ-槽S(Kibron Inc.,芬蘭赫爾辛基)。表面壓力用合金絲探頭監測,表面電位用開爾文探頭監測。當DSEPC參與實驗時,值得注意的是,使用一塊干凈的薄玻璃片覆蓋兩個特氟隆勢壘的內表面,以防止DSEPC和特氟隆勢壘之間的任何相互作用。等待15分鐘,蒸發揮發性溶劑,使朗繆爾單層達到平衡。為了吸附GO到脂質Langmuir單層,在將單層壓縮到一定的表面壓力后,在單層下方注入0.6 mL 1 mg/mL GO分散液,使GO達到0.02 mg/mL,然后在恒定區域監測表面壓力和表面電位隨時間的變化。
朗繆爾?Blodgett(LB)薄膜是通過以1 mm/min的恒定速度從亞相垂直拉出一塊新切割的V-1級云母片(賓夕法尼亞州哈特菲爾德的電子顯微鏡科學公司)獲得的。在成像之前,將轉移的薄膜在空氣中干燥幾個小時。原子力顯微鏡(AFM)圖像是使用安捷倫5420 AFM儀器(加利福尼亞州圣克拉拉)以輕敲模式拍攝的,分辨率為512×512像素。懸臂梁的共振頻率為~170 kHz,典型力常數為7.5 N/m,無涂層硅探頭。
結果和討論
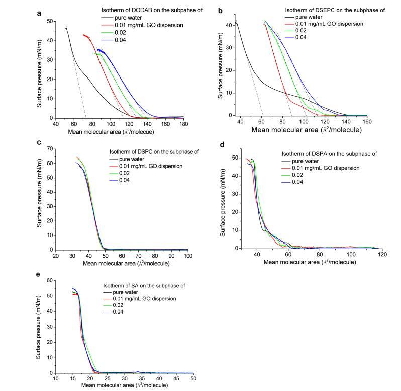
表面壓力?脂質在空氣中的面積等溫線?GO水分散體界面。表面壓力定義為純水表面和單層覆蓋表面之間的表面張力降低。它描述了空氣中的分子堆積密度?水或空氣?水界面。表面壓力?面積等溫線是通過監測表面壓力變化與平均分子面積在恒定溫度下壓縮過程中獲得的。當分子在崩塌前緊密堆積時,通過外推表面壓力的線性部分得到的面積?表面壓力為零(如圖1a中的虛線所示)的面積等溫線(固相或液凝聚相)被稱為極限分子面積。29這一重要特征代表了分子緊密堆積在單層中時所占的平均分子面積。極限分子面積通常由頭基的分子間相互作用和烷基鏈的堆積決定。30
圖1.表面壓力?脂質在空氣中的面積等溫線?水或GO分散界面:(a)帶正電的DODAB;(b)帶正電的DSEPC;(c)中性充電DSPC;(d)負電荷DSPA;(e)帶負電的SA。請注意,在空氣中未檢測到表面壓力?進入分散界面,不要在界面上分散脂質。帶有每個分子軸面積的虛線截距表示每個分子的極限面積。
圖1顯示了表面壓力?純水和GO水分散體亞相(0.01、0.02和0.04 mg/mL GO)上帶正電的DODAB(a)和DSEPC(b)、帶中性電荷的DSPC(c)、帶負電的DSPA(d)和SA(e)的面積等溫線。
值得注意的是,使用0.01、0.02和0.04 mg/mL GO水分散體作為亞相,在界面處未檢測到表面壓力,而不擴散脂質(數據未顯示),這表明本研究中使用的GO本身的表面活性不足以影響水的表面張力。純水子相上帶正電的DODAB和DSEPC的極限分子面積分別為73和61?2/分子,如圖1a、b中黑色曲線上的虛線所示。這些數字與之前的研究一致。30?32當這兩種脂質沉積在空氣中時?在GO分散界面,隨著亞相GO濃度從0.01增加到0.02到0.04 mg/mL,可以清楚地觀察到極限分子面積的增加。此外,隨著GO濃度的增加,液體凝聚相開始于更高的平均分子面積。這一觀察表明,GO可以結合或吸附到DODAB和DSEPC的單層中,增加平均分子面積。然而,當沉積帶中性電荷的脂質DSPC、帶負電的脂質DSPA和脂肪酸SA時,表面壓力?流動分散時的面積等溫線幾乎與純水子相上獲得的等溫線完全相同,如圖1c所示?e、在這三種分子的每種情況下,表面壓力在幾乎相同的平均分子面積下升高,并且極限分子面積也非常相似,盡管在亞相中GO的濃度不同。這些觀察結果表明,GO不能并入或吸附到DSPC、DSPA或SA的單層中。界面和亞相的GO的存在對這些分子的單層形成沒有任何影響。由于細胞膜中的磷脂帶負電荷或中性電荷,細胞可能將GO攝取到膜中不應是由于GO和磷脂之間的直接化學相互作用,而是通過生物過程,如內吞作用。8,33
圖1清楚地表明,具有不同電荷的頭部基團對脂質和GO之間的相互作用有著深遠的影響。人們認為疏水性尾部基團不參與這種相互作用。這是因為18碳疏水尾應朝向疏水空氣相。即使尾巴可以與GO在空中接觸?在沉積后的水界面上,在壓縮過程中未觀察到對DSPC、DSPA和SA等溫線的提升面積或極限分子面積的影響。特別值得注意的是,DSEPC、DSPC和DSPA具有完全相同的1,2-二硬脂酰-sn-甘油基團,只是與頭部基團不同,如方案1b所示?d、因此,控制GO和脂質相互作用的因素是頭部。帶正電的頭基(銨和乙酰膽堿)與GO帶負電的羧基具有強大的靜電吸引力,導致GO并入單層。由于不利于靜電相互作用,帶中性電荷的頭基(磷酸膽堿)或帶負電荷的頭基(磷酸和羧基)不吸附GO。此外,這些帶中性電荷和帶負電的頭群似乎可以將圍棋從空中擊退?GO色散界面。這解釋了為什么這些脂質在GO分散上的等溫線與在純水亞相上的等溫線幾乎完全相同。因此,我們將在下面的討論中重點討論GO和DODAB以及DSEPC之間的相互作用。





